BSDF 是计算机图形学、光学工程、材料科学等领域的核心概念,用于定量描述光线与材料表面相互作用的规律—— 即光线以特定方向入射到材料表面后,在各个出射方向上的反射、折射、散射能量分布比例。它是模拟真实光照效果(如物体的光泽、哑光、透明、半透明等质感)的关键数学模型。
简单来说,BSDF 回答了一个核心问题:“当一束光从某个方向照到材料上时,有多少比例的光会从另一个方向反射或折射出去?”
光线与不透明材料作用时,主要发生反射;与透明 / 半透明材料(如玻璃、水、皮肤)作用时,会同时发生反射和折射(透射)。因此,BSDF 可分解为两个独立分量的叠加,满足能量守恒:
BSDF = BRDF + BTDF

| 分量缩写 | 全称 | 作用 | 适用场景 |
|---|
| BRDF | 双向反射分布函数(Bidirectional Reflectance Distribution Function) | 描述入射光线被材料表面反射后,在各方向的能量分布 | 不透明材料(如金属、木材、墙面) |
| BTDF | 双向透射分布函数(Bidirectional Transmittance Distribution Function) | 描述入射光线穿透材料表面折射(透射) 后,在各方向的能量分布 | 透明 / 半透明材料(如玻璃、塑料、玉石) |

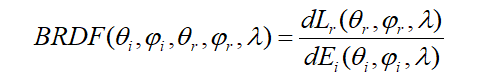
dLr是样品在反射方向上的辐射亮度
dEi是指定方向入射光到样品表面的照度
所以也可以表示为:


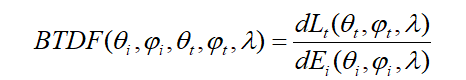
同理,BTDF可以表述为:

dLt是样品在透射射方向上的辐射亮度
dEi是指定方向入射光到样品表面的照度

硬件解决方案:

Mini-Diff V2
便携
4个方向的入射角度(包括透射和反射);
每个方案提供3个波长的入射光(RGB);
最大测试角度:75度

软件界面简洁
数据格式兼容市面大部分光学设计软件:LightTools, Zemax,Speos....

3种型号的规格对比:
